National Park Service
×
Copyright Information:
NATIONAL REGISTER DIGITAL ASSETS
DOWNLOAD THIS PDF
DOWNLOAD THIS PDF
HIDE NATIONAL REGISTER ASSETS
Copyright
ASSET METADATA
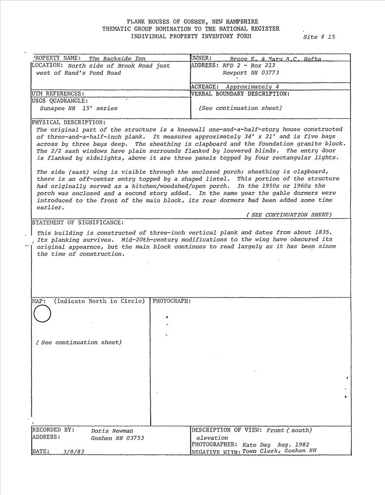
Title:
Backside Inn
National Register Information System ID:
85001308
Multiple Listing:
Plank Houses of Goshen New Hampshire TR
Applicable Criteria:
ARCHITECTURE/ENGINEERING
Architectural Styles:
NO STYLE LISTED
Architects:
Unknown
Areas Of Significance:
ARCHITECTURE
Periods Of Significance:
1850-1874
1800-1824
1825-1849
Resource Type:
BUILDING
Note:
Brook Rd.
Related Collections:
National Register of Historic Places Collection
Resource Format:
pdf
File Size (bytes):
159906
Date Published:
6/21/1985
Parks:
National Register of Historic Places
Locations:
State: New Hampshire
County: Sullivan County
Goshen ; Brook Rd.
Rating:
Categories:
Historic
Asset ID:
e7583d57-92e5-4a73-af8c-9caa23baec1f
Related Portals:
NPGallery Main Search
HIDE METADATA
Copyright