National Park Service
×
Copyright Information:
NATIONAL REGISTER DIGITAL ASSETS
DOWNLOAD THIS PDF
DOWNLOAD THIS PDF
HIDE NATIONAL REGISTER ASSETS
Copyright
ASSET METADATA
Title:
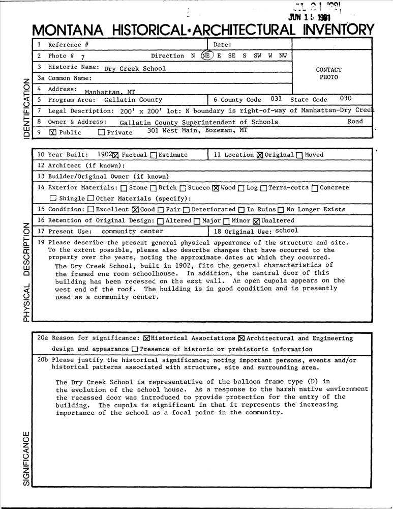
Dry Creek School
National Register Information System ID:
81000360
Multiple Listing:
One Room Schoolhouses of Gallatin County TR
Applicable Criteria:
EVENT
ARCHITECTURE/ENGINEERING
Architectural Styles:
NO STYLE LISTED
Architects:
Unknown
Areas Of Significance:
EDUCATION
ARCHITECTURE
Periods Of Significance:
1900-1924
1925-1949
Significant Years:
1902
Resource Type:
BUILDING
Keywords:
1902
Note:
E of Manhattan
Related Collections:
National Register of Historic Places Collection
Resource Format:
pdf
File Size (bytes):
127001
Date Published:
7/21/1981
Parks:
National Register of Historic Places
Locations:
State: Montana
County: Gallatin County
Manhattan ; E of Manhattan
Rating:
Categories:
Historic
Asset ID:
0be683b5-44f0-4710-b69f-271f4b71df49
Related Portals:
NPGallery Main Search
HIDE METADATA
Copyright