National Park Service
×
Copyright Information:
NATIONAL REGISTER DIGITAL ASSETS
DOWNLOAD THIS PDF
DOWNLOAD THIS PDF
HIDE NATIONAL REGISTER ASSETS
Copyright
ASSET METADATA
Title:
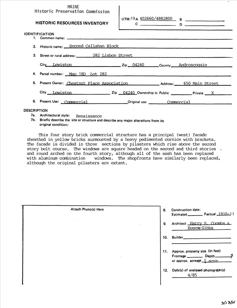
Second Callahan Block
National Register Information System ID:
86002290
Multiple Listing:
Lewiston Commercial District MRA
Applicable Criteria:
ARCHITECTURE/ENGINEERING
Architectural Styles:
RENAISSANCE
Architects:
Coombs,Harry S.
Gibbs,Eugene
Areas Of Significance:
ARCHITECTURE
Periods Of Significance:
1900-1924
Significant Years:
1910
1911
Resource Type:
BUILDING
Keywords:
coombs,harry s. ; gibbs,eugene ; 1910 ; 1911
Note:
282 Lisbon St.
Related Collections:
National Register of Historic Places Collection
Resource Format:
pdf
File Size (bytes):
166245
Date Published:
4/25/1986
Parks:
National Register of Historic Places
Locations:
State: Maine
County: Androscoggin County
Lewiston ; 282 Lisbon St.
Rating:
Categories:
Historic
Asset ID:
8dcffff4-7592-43fa-a1c5-b643cce11d9d
Related Portals:
NPGallery Main Search
HIDE METADATA
Copyright