National Park Service
×
Copyright Information:
NATIONAL REGISTER DIGITAL ASSETS
DOWNLOAD THIS PDF
DOWNLOAD THIS PDF
HIDE NATIONAL REGISTER ASSETS
Copyright
ASSET METADATA
Title:
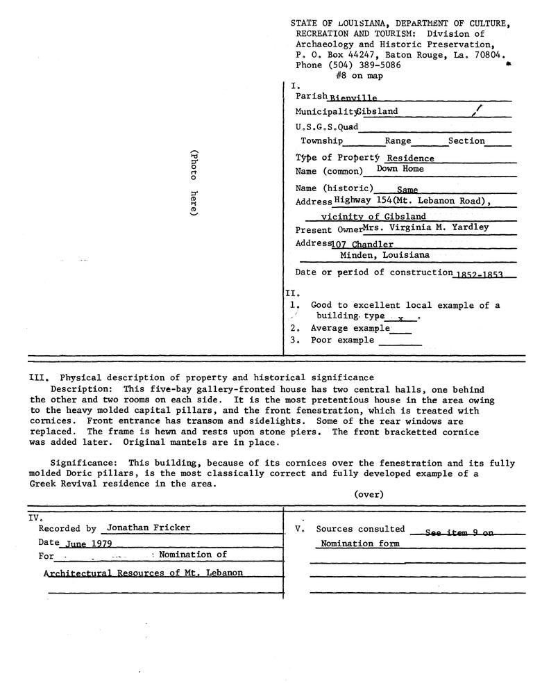
Down House
National Register Information System ID:
80001701
Multiple Listing:
Antebellum Greek Revival Buildings of Mount Lebanon TR
Applicable Criteria:
ARCHITECTURE/ENGINEERING
Architectural Styles:
GREEK REVIVAL
Architects:
Unknown
Areas Of Significance:
ARCHITECTURE
Periods Of Significance:
1850-1874
Significant Years:
1852
1853
Resource Type:
BUILDING
Related Collections:
National Register of Historic Places Collection
Resource Format:
pdf
File Size (bytes):
354543
Date Published:
2/1/1980
Parks:
National Register of Historic Places
Locations:
State: Louisiana
County: Bienville Parish
Gibsland ; LA 154
Rating:
Categories:
Historic
Asset ID:
54e735ac-6c5d-4bb2-93a6-ef97c3ed653d
HIDE METADATA
Copyright