National Park Service
Search NPGallery
Search NPGallery
Explore NPS.gov
×
Copyright Information:
NATIONAL REGISTER DIGITAL ASSETS
DOWNLOAD THIS PDF
DOWNLOAD THIS PDF
HIDE NATIONAL REGISTER ASSETS
Copyright
ASSET METADATA
Title:
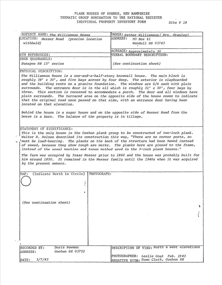
Williamson House
National Register Information System ID:
85001324
Multiple Listing:
Plank Houses of Goshen New Hampshire TR
Applicable Criteria:
ARCHITECTURE/ENGINEERING
Architectural Styles:
OTHER
Architects:
Unknown
Areas Of Significance:
ARCHITECTURE
Periods Of Significance:
1850-1874
Significant Years:
1850
Resource Type:
BUILDING
Keywords:
1850
Note:
Messer Rd.
Related Collections:
National Register of Historic Places Collection
Resource Format:
pdf
File Size (bytes):
224912
Date Published:
6/21/1985
Parks:
National Register of Historic Places
Locations:
State: New Hampshire
County: Sullivan County
Goshen ; Messer Rd.
Rating:
Categories:
Historic
Asset ID:
afbf5e72-c594-435f-97e5-ce2818584cc2
Related Portals:
National Register of Historic Places
HIDE METADATA
Copyright