National Park Service
×
Copyright Information:
NATIONAL REGISTER DIGITAL ASSETS
DOWNLOAD THIS PDF
DOWNLOAD THIS PDF
HIDE NATIONAL REGISTER ASSETS
Copyright
ASSET METADATA
Title:
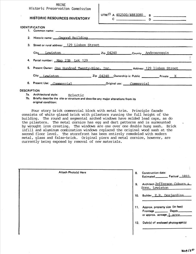
Osgood Building
National Register Information System ID:
86002289
Multiple Listing:
Lewiston Commercial District MRA
Applicable Criteria:
ARCHITECTURE/ENGINEERING
Architectural Styles:
NO STYLE LISTED
Architects:
Jefferson,Coburn & Sons
Areas Of Significance:
ARCHITECTURE
Periods Of Significance:
1875-1899
Significant Years:
1893
Resource Type:
BUILDING
Keywords:
jefferson,coburn & sons ; 1893
Note:
129 Lisbon St.
Related Collections:
National Register of Historic Places Collection
Resource Format:
pdf
File Size (bytes):
191650
Date Published:
4/25/1986
Parks:
National Register of Historic Places
Locations:
State: Maine
County: Androscoggin County
Lewiston ; 129 Lisbon St.
Rating:
Categories:
Historic
Asset ID:
a3437eaf-3aec-447d-b920-d89b04ec1fab
Related Portals:
NPGallery Main Search
HIDE METADATA
Copyright