National Park Service
×
Copyright Information:
NATIONAL REGISTER DIGITAL ASSETS
DOWNLOAD THIS PDF
DOWNLOAD THIS PDF
HIDE NATIONAL REGISTER ASSETS
Copyright
ASSET METADATA
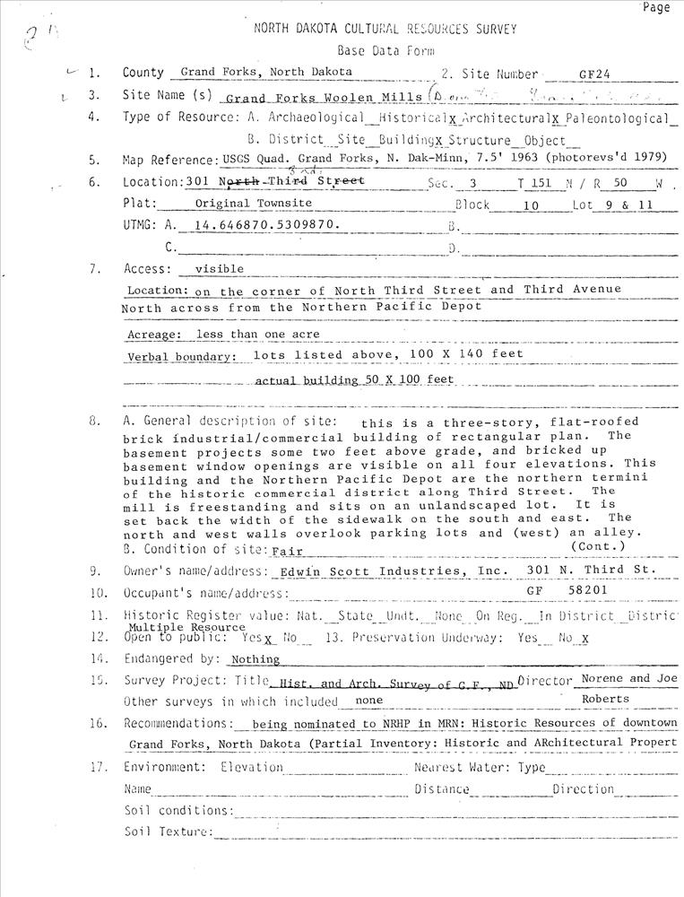
Title:
Grand Forks Woolen Mills
National Register Information System ID:
83001936
Multiple Listing:
Downtown Grand Forks MRA
Applicable Criteria:
EVENT
ARCHITECTURE/ENGINEERING
Architectural Styles:
EARLY COMMERCIAL
OTHER
Architects:
Ross, John W.
Areas Of Significance:
INDUSTRY
COMMERCE
ARCHITECTURE
Periods Of Significance:
1875-1899
Significant Years:
1895
Resource Type:
BUILDING
Keywords:
ross,john w. ; 1895
Note:
301 N. 3rd St.
Related Collections:
National Register of Historic Places Collection
Resource Format:
pdf
File Size (bytes):
296873
Date Published:
10/26/1983
Parks:
National Register of Historic Places
Locations:
State: North Dakota
County: Grand Forks County
Grand Forks ; 301 N. 3rd St.
Rating:
Categories:
Historic
Asset ID:
867904fc-f9e9-4b17-bfa4-987f6bc45782
Related Portals:
NPGallery Main Search
HIDE METADATA
Copyright