National Park Service
×
Copyright Information:
NATIONAL REGISTER DIGITAL ASSETS
DOWNLOAD THIS PDF
DOWNLOAD THIS PDF
HIDE NATIONAL REGISTER ASSETS
Copyright
ASSET METADATA
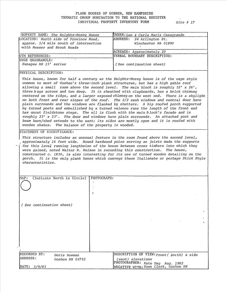
Title:
Knights-Morey House
National Register Information System ID:
85001316
Multiple Listing:
Plank Houses of Goshen New Hampshire TR
Applicable Criteria:
ARCHITECTURE/ENGINEERING
Architectural Styles:
OTHER
Architects:
Unknown
Areas Of Significance:
ARCHITECTURE
Periods Of Significance:
1825-1849
Significant Years:
1830
Resource Type:
BUILDING
Related Collections:
National Register of Historic Places Collection
Resource Format:
pdf
File Size (bytes):
152813
Date Published:
6/21/1985
Parks:
National Register of Historic Places
Locations:
State: New Hampshire
County: Sullivan County
Goshen ; Province Rd.
Rating:
Categories:
Historic
Asset ID:
70896be0-10a8-4ce2-a854-001b131c1105
Related Portals:
NPGallery Main Search
HIDE METADATA
Copyright