National Park Service
×
Copyright Information:
NATIONAL REGISTER DIGITAL ASSETS
DOWNLOAD THIS PDF
DOWNLOAD THIS PDF
HIDE NATIONAL REGISTER ASSETS
Copyright
ASSET METADATA
Title:
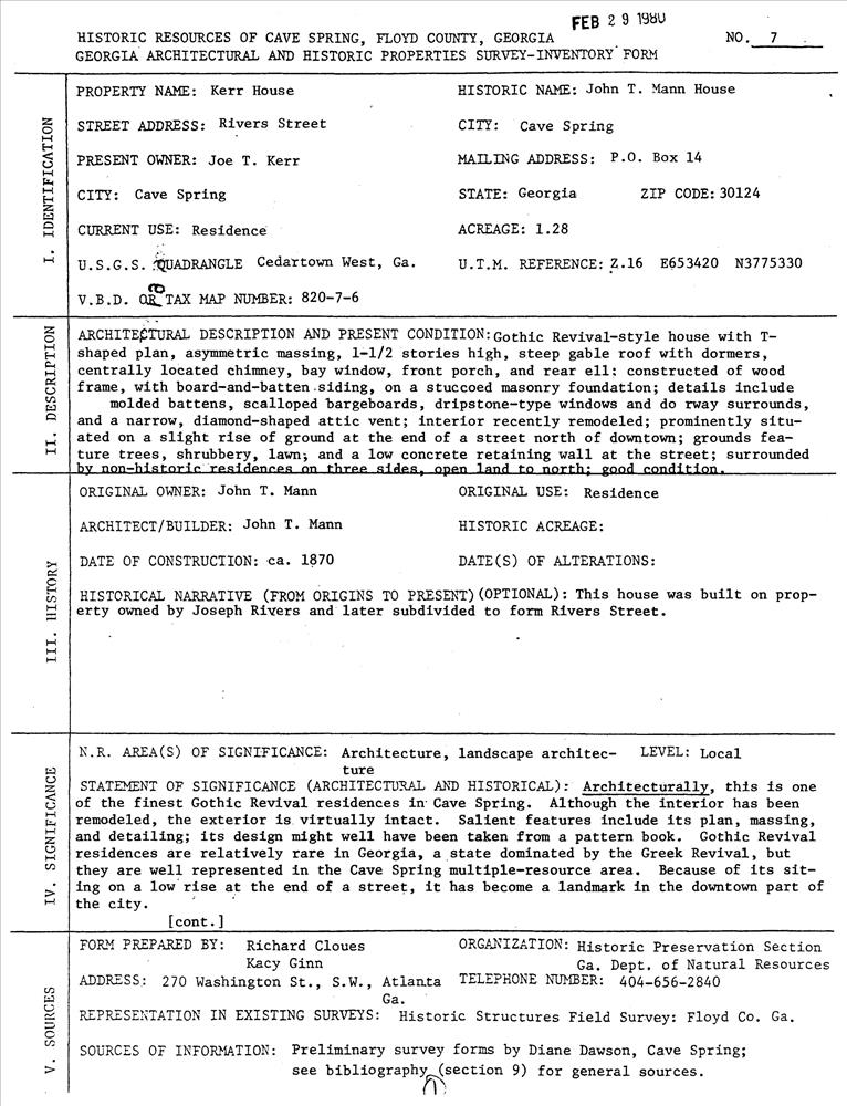
Mann, John T., House
National Register Information System ID:
80001047
Multiple Listing:
Cave Spring MRA
Applicable Criteria:
ARCHITECTURE/ENGINEERING
Architectural Styles:
LATE GOTHIC REVIVAL
Architects:
Mann,John T.
Areas Of Significance:
ARCHITECTURE
Periods Of Significance:
1850-1874
Significant Years:
1870
Resource Type:
BUILDING
Keywords:
mann,john t. ; 1870
Note:
Rivers St.
Related Collections:
National Register of Historic Places Collection
Resource Format:
pdf
File Size (bytes):
22151
Date Published:
6/19/1980
Parks:
National Register of Historic Places
Locations:
State: Georgia
County: Floyd County
Cave Spring ; Rivers St.
Rating:
Categories:
Historic
Asset ID:
59f92ab9-4ff1-4d26-bf1f-4f07dca82ce2
HIDE METADATA
Copyright