National Park Service
×
Copyright Information:
NATIONAL REGISTER DIGITAL ASSETS
DOWNLOAD THIS PDF
DOWNLOAD THIS PDF
HIDE NATIONAL REGISTER ASSETS
Copyright
ASSET METADATA
Title:
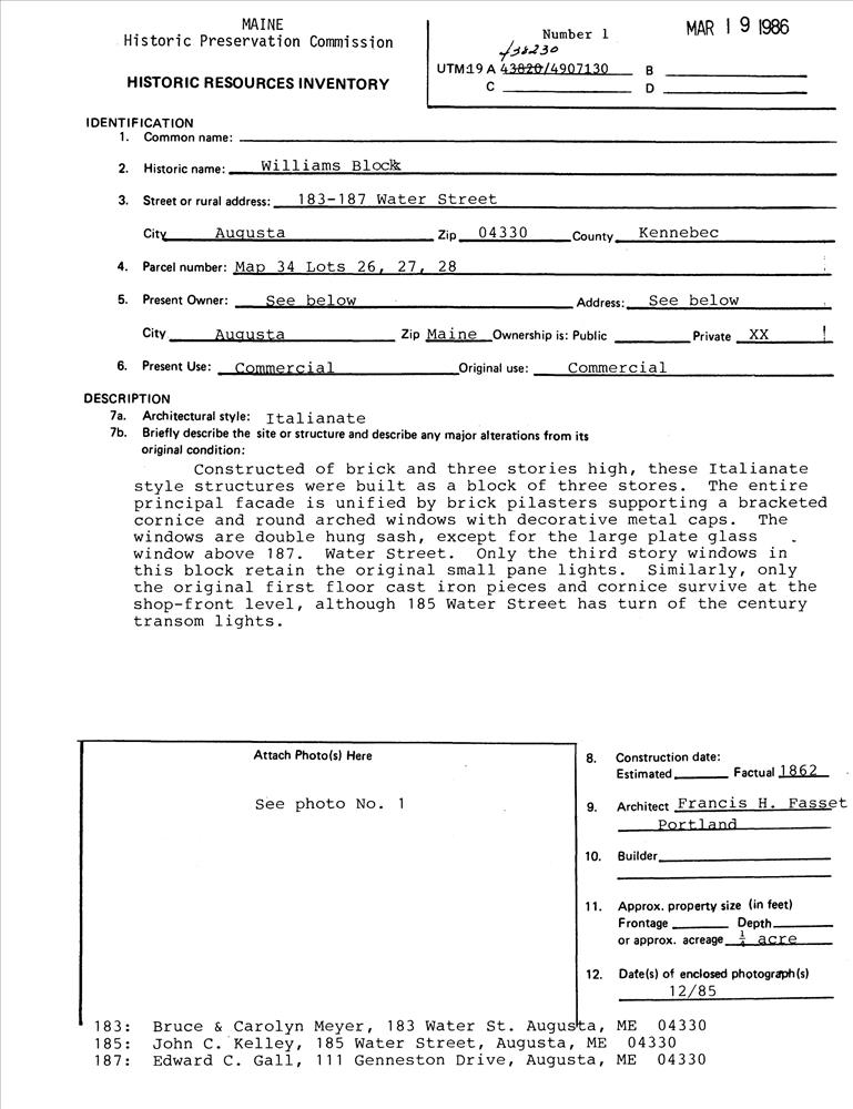
Williams Block
National Register Information System ID:
86001699
Multiple Listing:
Augusta Central Business District MRA
Applicable Criteria:
ARCHITECTURE/ENGINEERING
Architectural Styles:
ITALIANATE
Architects:
Fassett,Francis
Williams,Ruel
Areas Of Significance:
ARCHITECTURE
Periods Of Significance:
1850-1874
Significant Years:
1862
Resource Type:
BUILDING
Keywords:
fassett,francis ; williams,ruel ; 1862
Note:
183--187 Water St.
Related Collections:
National Register of Historic Places Collection
Resource Format:
pdf
File Size (bytes):
112578
Date Published:
5/2/1986
Parks:
National Register of Historic Places
Locations:
State: Maine
County: Kennebec County
Augusta ; 183--187 Water St.
Rating:
Categories:
Historic
Asset ID:
209a7625-b9e8-489f-b023-ff758fce8a4b
Related Portals:
NPGallery Main Search
HIDE METADATA
Copyright