National Park Service
×
Copyright Information:
NATIONAL REGISTER DIGITAL ASSETS
DOWNLOAD THIS PDF
DOWNLOAD THIS PDF
HIDE NATIONAL REGISTER ASSETS
Copyright
ASSET METADATA
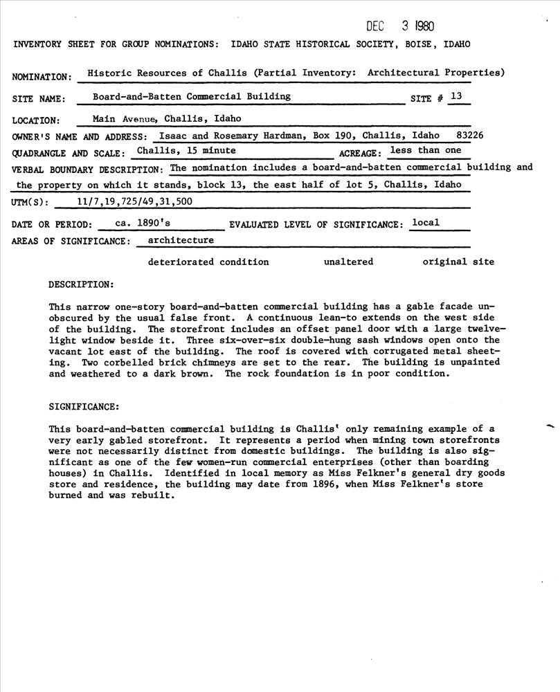
Title:
Board-and-Batten Commercial Building
National Register Information System ID:
80001300
Multiple Listing:
Challis MRA
Applicable Criteria:
ARCHITECTURE/ENGINEERING
Architectural Styles:
NO STYLE LISTED
Architects:
Unknown
Areas Of Significance:
ARCHITECTURE
Periods Of Significance:
1875-1899
Significant Years:
1896
Resource Type:
BUILDING
Keywords:
1896
Note:
Main Ave.
Related Collections:
National Register of Historic Places Collection
Resource Format:
pdf
File Size (bytes):
33565
Date Published:
12/3/1980
Parks:
National Register of Historic Places
Locations:
State: Idaho
County: Custer County
Challis ; Main Ave.
Rating:
Categories:
Historic
Asset ID:
2a0704b9-1328-40cd-8494-4150dfd3283e
Related Portals:
NPGallery Main Search
HIDE METADATA
Copyright